來源:韓研活性炭網 作者:韓研活性炭網 2017-07-03
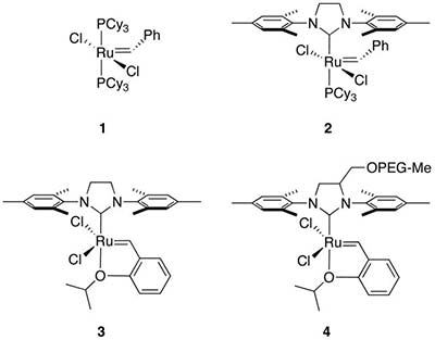
活性炭除去副產物釕,有效地從關環復分解反應(RCM)的聚乙二醇催化反應支持N-雜環卡賓基釕配合物。烯烴復分解是聚合物和小分子合成中強大的碳 - 碳鍵形成反應。特別地,最近釕烯烴易位催化劑(活性炭)的開發,例如(圖1),其顯示出高的活性和官能團耐受性,擴大了該反應的范圍。然而,已經證明是非常難以從所需產物甚至用硅膠柱色譜法純化后,完全除去高顯色的釕絡合物。將殘余的釕絡合物可能會造成問題,例如烯烴異構化,隨著時間的推移,分解7,8并且最終產品的毒性增加,這尤其是與生物活性物質的合成有關。

釕基烯烴復分解催化劑
已經報道了幾種方案來除去釕副產物。使用三(羥甲基)膦的(THMP),Pb(OAC)4,DMSO(或PH 3 P = O),活性炭,次支承膦,1超臨界流體,改性的催化劑,中孔硅酸鹽,1和極性異氰化物(CNCH 2 CO 2 K)都已被報道以降低均相烯烴復分解反應中的釕含量。盡管這些純化方法提供了低水平的殘余釕,但它們也具有缺點,例如昂貴的,有毒的,和/或不穩定的釕清除劑,加工時間長,硅膠柱層析的要求,或許多洗滌和萃取,這在許多情況下是不實際和經濟的。此外,大多數的方法實際上并不降低低于10ppm的水平,這是必要的藥物應用的釕污染。
最近,我們報道了聚(乙二醇)(PEG)載體上的催化劑4(M ??2639中,M ? =數均分子量),它是活動的,在水性介質中穩定(圖1)。PEG的獨特溶解度曲線使4可溶于一些有機溶劑,如二氯甲烷和甲苯,它們是烯烴復分解的典型溶劑,以及含水介質。按照PEG的溶解度曲線,活性炭不溶于其它有機溶劑如乙醚,異丙醇和己烷。這種非常溶解度4促使我們開發了簡單的水提取方法,以在烯烴復分解反應后除去釕副產物。

通過簡單的水萃取去除釕副產物
活性炭在CH 2 Cl 2中的活性與其他催化劑在二烯丙基二乙酸二乙酯的RCM反應中進行比較(5)。如圖2所示,PEG鏈與N-雜環碳烯(NHC)的連接不會顯著影響活性炭的活性。

通過活性炭,然后用幾種報道的方法純化底物5的RCM,以收集參考數據(表1)。在所有情況下,避免了在工業規模上不實用和高效的硅膠色譜法。簡單的提取將釕含量降低了大約一半(條目1)。DMSO處理,不經硅膠色譜分離,不如THMP和活性炭處理那樣有效。THMP 和用活性炭能有效地將釕水平降低到100ppm以下; 然而,該釕水平對于實際使用來說仍然太高。
相比之下,簡單的含水萃取使得催化劑4的 RCM后的釕水平降低至41ppm,其比來自與3(條目5)的反應的THMP和活性炭處理相比都低。22在萃取過程中觀察到清除乙醚和棕色水相。采用水提取方案與THMP或活性炭結合使釕含量降低到10ppm以下,適用于藥物應用。萃取后的活性炭處理非常有效地將釕含量降低到低于我們分析檢測限的0.04ppm。
總之,我們已經證明了通過活性炭處理從烯烴復分解反應中去除含釕副產物的方便有效的方法。這種實用,經濟和環保的方法將釕污染水平降低到生物活性材料應用的有用范圍。
溫馨提示:任何網站、媒體轉載本站原創文章則一定要寫明文章出處為:韓研活性炭網(www.lhccyx.cn),違者追究其法律責任。最終解釋權歸廣東韓研活性炭網所有,如有疑問請與我站編輯部的聯系,電話:020-39972520。
- [ 2023-01-29 ]活性炭吸附作用怎么來的
- [ 2023-01-22 ]怎么選擇木質粉狀活性炭廠家
- [ 2023-01-21 ]廢氣處理蜂窩活性炭怎么用
- [ 2023-01-20 ]木質柱狀活性炭有什么優勢
- [ 2023-01-19 ]制氮機用活性炭規格參數
- [ 2023-01-18 ]活性炭吸附次氯酸鈉
- [ 2023-01-17 ]去余氯活性炭的去除原理
- [ 2023-01-16 ]活性炭用于黃金回收-黃金炭
- [ 2023-01-15 ]活性炭復合泡沫材料
- [ 2018-12-18 ]活性炭負載氧化鐵對辛醇的氧化
主營:活性炭;椰殼活性炭;煤質活性炭;木質活性炭;果殼活性炭;蜂窩活性炭;活性炭纖維;凈水活性炭;水處理材料;空氣凈化材料.
FAQ熱門推薦
- 1、椰殼凈水活性炭哪家好?
- 2、椰殼凈水活性炭多少錢?
- 3、果殼活性炭多少錢?
- 4、購買凈水活性炭,找凈水活性炭…
- 5、果殼活性炭什么牌子好?
- 6、木質粉狀活性炭哪家好?
- 7、木質粉狀活性炭什么牌子好?
- 8、木質粉狀活性炭多少錢?
- 9、活性炭的作用幾小時生效?
- 10、蜂窩活性炭哪家好?



